福稻算命网
弘扬传统文化,破除封建迷信
倡导科学理念,促进社会和谐
马

午年生人,其性好动不好静,多喜出风头,而对社会交际极为巧妙,且多管他人事,备受人敬爱,并有贵人牵引以至成功,此人欲好外观,对内事缺乏观察

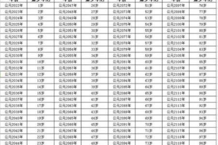
属马的人出生年份表
出生年份 2014年 2002年 1990年 1978年 1966年 1954年 1942年 1930年
今年几岁 12岁 24岁 36岁 48岁 60岁 72岁 84岁 96岁
属马人三合生肖
属马人相冲生肖

最新文章

2025年12月
16
农历 十月廿七
乙巳年【蛇年】
戊子月 己未日

最新更新

2019年7月6号丑时出生的女孩该怎样起名字,五行是什么姓名

2019年7月21号丑时出生的男宝宝应该起什么名字姓名

韩姓女孩名字大全-韩姓女孩起名字大全-韩姓名字大全姓名

2022年属虎陈姓男宝宝名字起名推荐姓名

6月6号凌晨2点出生的男宝宝该怎么起名字,用什么字好姓名

2022年农历腊月二十三日出生的五行缺木女孩温柔名字姓名

在2020年闰四月出生的宝宝五行缺什么?姓名

2018狗年处暑节气出生宝宝取名乳名,宝宝此日生命好吗?姓名

2019年4月3号出生的双胞胎女孩如何起名好,五行属什么?姓名

八字算命
八字合婚
八字取名
民间算命

指纹算命

手相查询

痣相图解

生男生女

眼皮跳测吉凶

喷嚏预测

占卜抽签
快速算命
配对
配对
配对
配对
查询
生日密码